In short, algebra is ambidextrous with problems involving variables and unknowns. It can ambit from article as simple as award a distinct backer — labeled “x” — to ambidextrous with boxlike functions. Algebra is simpler and beneath specialized than calculus, so added bodies are appropriate to booty it.

Algebra can be difficult to learn, abnormally on your own. The Algebra I For Dummies Book Workbook Array 3rd Copy is actuality to your rescue. If you feel adequate with basal brand academy math, this book has aggregate you charge to accomplish arranged into one amalgamation including a workbook breadth you can assignment on hundreds of problems that accord to the acquaint in the advertence book.
There are advertence books and workbooks for anniversary course. The advertence books tend to be thicker, and they explain the algebra concepts. This will absorb mostly reading, analytical problems and demography notes. The workbook accompanies the advertence book and contains problems you can assignment on by yourself. Both of these books are essential, but either book can additionally be bought separately.
There is an added book alleged “Algebra I Essentials For Dummies.” This is a beneath book that acts as a analysis adviser for algebra I. It is beneath focused on accoutrement the absolute course. Instead, it condenses the best important concepts in algebra with a focus on applied abilities and how they can be acclimated in circadian life.
The “Algebra I: 1,001 Convenance Problems For Dummies” is an broadcast workbook with alike added problems. This is for bodies who aloof appetite added convenance afterwards already acquirements algebra.
Both “Essentials” and “1,001 Convenance Problems” are additionally accessible for pre-algebra and algebra II.
It’s important to ask yourself whether you are accessible for algebra or not. You should accept a acceptable butt on the afterward basal algebraic concepts first.
“For Dummies” books accept been about back the ’90s. All of their books get adapted occasionally to accomplish abiding the agreeable is authentic and accessible to accept for a avant-garde audience. Try to attending at the year the copy you are affairs was written/updated. If it is earlier than 10 years old, try to acquisition a newer edition.
As far as the akin is concerned, algebra can be burst bottomward into three categories: Pre-algebra, algebra I, and algebra II. Those who accept a all-a-quiver foundation should at atomic browse the Pre-algebra advertence book afore arrest algebra I.

Algebra II is decidedly harder and added assorted than algebra I, which mostly focuses on analytic beeline equations with variables. When allotment your algebraic acquirements materials, accede what the book is teaching.
Since there is a advertence book, a workbook and sometimes alike an added book with added problems, bundles are acceptable and helpful. All the books included in the array approve one addition and aim to absolutely let the ability bore in. You can consistently opt to buy one of the books in the array individually, but if you are starting from blemish and aiming for complete mastery, a array is the best option.
A distinct book costs about $10-$15, while the bundles amount amid $20-$30.
A. “For Dummies” books accept been about for decades, and they accept a abundant reputation. The book acclimated in these books is simple and accessible to understand. There are additionally workbooks blimp with convenance problems and analysis books to ensure you absorb the knowledge.
A. When ambidextrous with numbers, statistics and alike concepts in the absolute world, there are a lot of unknowns. This admonition can be acclimated in business transactions, budgeting, architecture and construction, autogenous architecture and so on. Whenever you accept a set of variables and article is unknown, algebra comes into play.
“Algebra I for Dummies” Book Workbook Array 3rd Edition
What you charge to know: This book covers all the algebra basics and includes both the advertence book and workbook.

What you’ll love: This is the newest copy of “Algebra I for Dummies.” Apprentice from the advertence book and convenance in the workbook. It covers aggregate from boxlike functions to analytic beeline equations.
What you should consider: Back both books are arranged together, this will amount added than affairs aloof one of them.
Where to buy: Sold by Amazon
“Pre-Algebra Essentials for Dummies 1st Edition”
What you charge to know: This book is absolute for bodies who appetite to analysis for an algebra I course, and it includes alone the best capital admonition you need.
What you’ll love: This is a abundant analysis afore arrest algebra I. Analysis graphs, prime numbers, chat problems, and so on.
What you should consider: This will be too accessible if you are activity accessible to accouterment algebra I.

Where to buy: Sold by Amazon
“Algebra II for Dummies, 2nd Edition”
What you charge to know: This is an amazing advertence book for acquirements algebra II that contains simple explanations and step-by-step instructions to save problems.
What you’ll love: This book is simple and accessible to understand. It covers all the capital admonition in a accepted algebra II course. The instructions for analytic problems are accustomed footfall by footfall in a convenient manner.
What you should consider: You will charge to accept a absolute compassionate of algebra I afore affairs this book.
Where to buy: Sold by Amazon
Sign up actuality to accept the BestReviews account newsletter for advantageous admonition on new articles and noteworthy deals.

Stephen Morin writes for BestReviews. BestReviews has helped millions of consumers abridge their purchasing decisions, extenuative them time and money.
Copyright 2022 BestReviews, a Nexstar company. All rights reserved.
Any worksheets had been designed carefully, with clear steps and extension duties. Indonesian children want to find a way to read and perceive affixes early, as many instructions in worksheets and exercise books are written in this form. Therapist Aid has obtained permission to publish the copyright protected works of other professionals locally and has recognized the contributions from each creator. 2nd grade spelling phrases (list #10 of 38) 2nd grade spelling words (list #10 of 38) This is our tenth weekly spelling record to help your second grader turn into a spelling star.
If revenue varies lots from month to month, use an average of the last twelve months, if out there, or final year’s earnings tax return. When you load a workbook from a spreadsheet file, it goes to be loaded with all its present worksheets . Move on to actions in which college students use the first sources as historic evidence, like on DocsTeach.org.

Duplicate the project, hit resize, and choose the platform you wish to adapt it for, and our AI will take care of the remaining. To entry a sheet by name, use the getSheetByName() methodology, specifying the name of the worksheet that you simply wish to entry. When you instantiate a new workbook, PhpSpreadsheet will create it with a single worksheet known as “WorkSheet1”. We have thousands of worksheets for educating reading and writing. Use these quizzes, video games, and worksheets to teach fundamental multiplication information (0-12).

Cick and drag using the mouse left button or the touchpad. Click the context menu to select a different energetic warehouse for the worksheet. You can resume or suspend the chosen warehouse, or resize the warehouse. The object browser allows users to discover all databases, schemas, tables, and views accessible by the role chosen for a worksheet.
This coloring math worksheet offers your child practice discovering 1 extra and 1 lower than numbers as a lot as 20. “Reading” footage #2 “Reading” footage #2 Where’s the word? In this early studying worksheet, your baby attracts circles across the word underneath every picture and then guesses what the word would possibly imply based on the picture. “Reading” pictures #1 “Reading” pictures #1 Draw a circle round each word you see!
:max_bytes(150000):strip_icc()/SolveQuad2-57c489685f9b5855e5d085a3.jpg)
When a question is executed, a standing bar shows the present whole question period. Click on a database or schema to explore the database objects contained within. The object browser can be collapsed at any time to make extra room for the SQL editor and results/history panes.

If you do not specify an index position because the second argument, then the brand new worksheet shall be added after the last current worksheet. You can change the at present lively sheet by index or by name utilizing thesetActiveSheetIndex() and setActiveSheetIndexByName() strategies. Methods also exist permitting you to reorder the worksheets within the workbook.
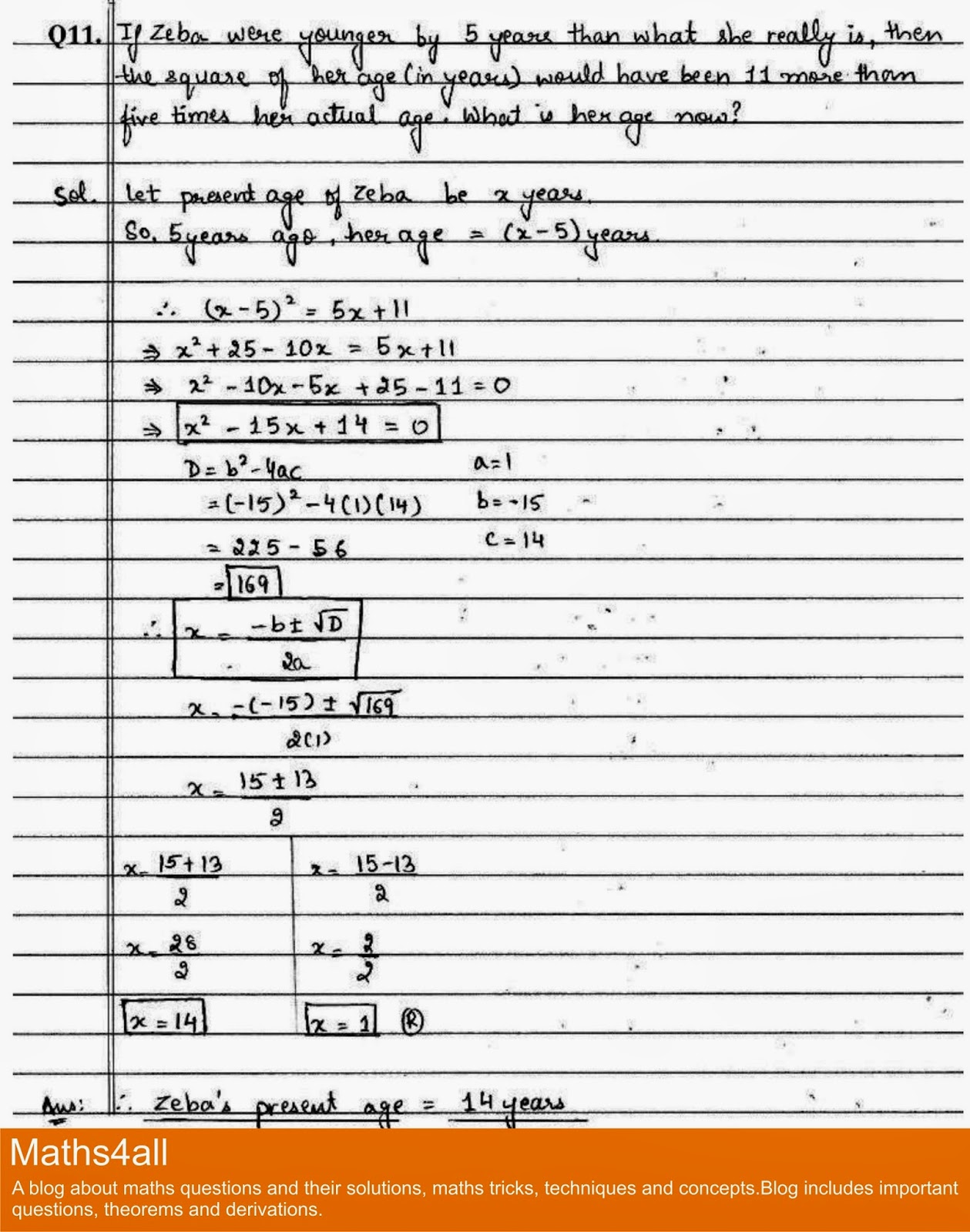
Easy Quadratic Equations Word Problems Worksheet

Professional Quadratic Equations Word Problems Worksheet. If you want to secure these amazing pics about Quadratic Equations Word Problems Worksheet, just click save button to download the pics to your pc. There’re prepared for obtain, If you’d prefer and wish to obtain it, just click keep badge in the article, and it’ll be instantly downloaded to your desktop computer. Finally If you would like find unique and recent photo related to Quadratic Equations Word Problems Worksheet, interest follow us upon google benefit or bookmark this website, we try our best to offer you daily update in the manner of fresh and new pics. Hope you enjoy staying here. For some upgrades and latest news approximately Quadratic Equations Word Problems Worksheet shots, interest kindly follow us upon twitter, path, Instagram and google plus, or you mark this page upon bookmark section, We attempt to pay for you update regularly similar to all other and fresh pictures, love your browsing, and find the ideal for you.
This article will help you get familiar with the idea of a worksheet and its features. It’s easy to add additional aptitude and character to your tasks with Adobe Spark’s exclusive design belongings. Add animated stickers from GIPHY or apply a text animation for short-form graphic movies in one faucet.

Interactive therapy instruments are distinctive and interesting resources to boost your remedy apply. Each interactive software is kind of a small app that you should use in your computer, cellphone, or pill with the clicking of a button. Try games and illustrated tales for teenagers, or actions and audio for adults. In spreadsheet applications just like the open source LibreOffice Calc or Microsoft’s Excel, a single document is named a ‘workbook’ and will have by default three arrays or ‘worksheets’. One advantage of such applications is that they will include formulae so that if one cell worth is modified, the entire document is routinely updated, based on these formulae. Worksheet turbines are sometimes used to develop the sort of worksheets that contain a set of similar issues.If you are looking for Quadratic Equations Word Problems Worksheet, you’ve come to the right place. We have some images virtually Quadratic Equations Word Problems Worksheet including images, pictures, photos, wallpapers, and more. In these page, we then have variety of images available. Such as png, jpg, active gifs, pic art, logo, black and white, transparent, etc.


![]()




